基本信息:
中文名称 6-溴-4-吲唑甲酸甲酯
中文别名 6-溴-1H-吲唑-4-羧酸甲酯;6-溴-1H-吲唑-4-甲酸甲酯;
英文名称 Methyl 6-bromo-1H-indazole-4-carboxylate
英文别名 methyl 6-bromo-1H-indazole-4-carboxylate;
CAS号 885518-49-0
合成路线:
1.通过1-乙酰基-6-溴-1H-吲唑-4-羧酸甲酯合成6-溴-4-吲唑甲酸甲酯,收率约70%;

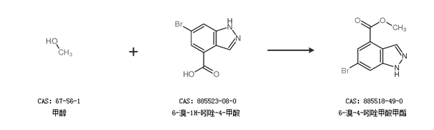
2.通过甲醇和6-溴-1H-吲唑-4-甲酸合成6-溴-4-吲唑甲酸甲酯

合成路线仅供参考