基本信息:
中文名称 2,4-二氯-5-苯基嘧啶
英文名称 2,4-Dichloro-5-phenylpyrimidine
英文别名 2,4-Dichlor-5-nitro-toluol;2,4-Dichlor-5-phenyl-pyrimidin;2,4-Dichlor-5-methyl-nitrobenzol;2,4-dichloro-5-phenyl-pyrimidine;2,4-dichloro-5-nitro-toluene;Phenyl-dichlorpyrimidin;
CAS号 63558-77-0
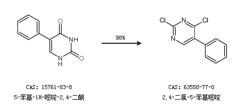
合成路线:
1.通过5-苯基-1H-嘧啶-2,4-二酮合成2,4-二氯-5-苯基嘧啶,收率约98%;

2.通过5-溴-2,4-二氯嘧啶和苯硼酸合成2,4-二氯-5-苯基嘧啶,收率约60%;

中华试剂网提醒 合成路线仅供参考