基本信息:
中文名称 1-(6-氯哒嗪-3-基)哌嗪
中文别名 3-氯-6-(1-哌嗪基)哒嗪;
英文名称 3-chloro-6-piperazin-1-ylpyridazine
英文别名 3-Chloro-6-piperazinopyridazine;F2158-0579;6-chloro-3-piperazinylpyridazine;
CAS号 56392-83-7
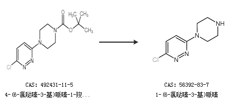
合成路线:
1.通过哌嗪和3,6-二氯哒嗪合成1-(6-氯哒嗪-3-基)哌嗪,收率约80%;

2.通过4-(6-氯哒嗪-3-基)哌嗪-1-羧酸叔丁酯合成1-(6-氯哒嗪-3-基)哌嗪

合成路线仅供参考