基本信息:
中文名称 2,4-二氯-5-嘧啶甲酸乙酯
中文别名 乙基 2,4-二氯嘧啶-5-羧酸酯;
英文名称 Ethyl 2,4-Dichloro-5-pyrimidinecarboxylate
英文别名 ethyl 2,4-dichloropyrimidine-5-carboxylate;Ethyl 2,4-dichloro-5-pyrimidinecarboxylate;Ethyl 2,4-dichloropyrimidine-5-carboxylate;
CAS号 51940-64-8
合成路线:
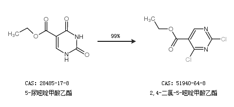
1.通过5-尿嘧啶甲酸乙酯合成2,4-二氯-5-嘧啶甲酸乙酯,收率约99%;

2.通过乙醇和2,4-二氯-5-嘧啶甲酰氯合成2,4-二氯-5-嘧啶甲酸乙酯,收率约10%;

合成路线仅供参考