基本信息:
中文名称 6-溴-4-二氢色原酮
中文别名 6-溴-2,3-二氢苯并吡喃-4-酮;6-溴-2,3-二氢-4H-苯并吡喃-4-酮;
英文名称 6-Bromo-2,3-Dihydro-4H-Chromen-4-One
英文别名 6-Bromochroman-4-one;6-Bromo-4-chromanone;6-Bromo-2,3-dihydro-4H-chromen-4-one;
CAS号 49660-57-3
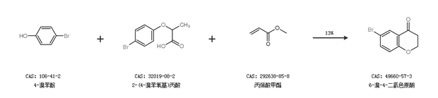
合成路线:
1.通过4-二氢色原酮合成6-溴-4-二氢色原酮,收率约75%;

2.通过4-溴苯酚、2-(4-溴苯氧基)丙酸和丙烯酸甲酯合成6-溴-4-二氢色原酮,收率约13%;

合成路线仅供参考