基本信息:
中文名称 4-氨基-6-苯基嘧啶
英文名称 6-phenylpyrimidin-4-amine
英文别名 2-Amino-4-phenyl-pyrimidin;4-Amino-6-phenylpyrimidine;6-phenylpyrimidin-4-ylamine;6-Phenyl-pyrimidin-4-ylamin;4-Amino-6-phenyl-pyrimidin;6-amino-4-phenylpyrimidine;6-phenyl-4-pyrimidinamine;
CAS号 3435-29-8
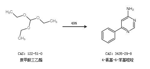
合成路线:
1.通过4-氨基-6-氯嘧啶和苯硼酸合成4-氨基-6-苯基嘧啶,收率约37%;

2.通过原甲酸三乙酯合成4-氨基-6-苯基嘧啶,收率约49%;

中华试剂网提醒:合成路线仅供参考