基本信息:
中文名称 2-氨基-5-氯吡嗪
中文别名 5-氯-2-氨基吡嗪;5-氯吡嗪-2-胺;
英文名称 5-chloropyrazin-2-amine
英文别名 2-amino-5-chloropyrazine;2-Amino-5-chloropyrazine;5-Chloro-pyrazin-2-ylamine;pyrazinamine,5-chloro;5-amino-2-chloro-pyrazine;5-chloro-2-aminopyrazine;
CAS号 33332-29-5
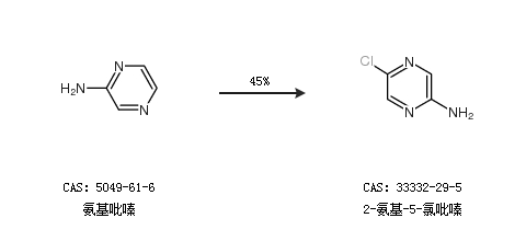
合成路线:
1.通过氨基吡嗪合成2-氨基-5-氯吡嗪,收率约45%;

2.通过3-氨基-6-氯吡嗪-2-甲酸甲酯合成2-氨基-5-氯吡嗪

合成路线仅供参考