基本信息:
中文名称 2,4-二氯嘧啶-5-甲酸甲酯
中文别名 2,4-二氯-5-嘧啶甲酸甲酯;2,4-二氯嘧啶-5-羧酸甲酯;
英文名称 methyl 2,4-dichloropyrimidine-5-carboxylate
英文别名 2,4-Dichloro-pyrimidine-5-carboxylic acid methyl ester;METHYL2,4-DICHLOROPYRIMIDINE-5-CARBOXYLATE;Methyl2,4-Dichloropyrimidine-5-carboxylate;2,4-Dichlor-pyrimidin-5-carbonsaeure-methylester;methyl 2,4-dichloropyrimidine carboxylate;Methyl 2,4-dichloro-5-pyrimidinecarboxylate;Methyl 2,4-dichloropyrimidine-5-carboxylate;2,4-Dichloro-5-pyrimidinecarboxylic acid,methyl ester;2,4-dichloro-5-methoxycarbonyl-pyrimidine;
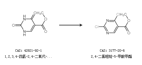
CAS号 3177-20-6
合成路线:
1.通过甲醇和2,4-二氯-5-嘧啶甲酰氯合成2,4-二氯嘧啶-5-甲酸甲酯,收率约94%;

2.通过1,2,3,4-四氢-2,4-二氧代-5-嘧啶羧酸甲酯合成2,4-二氯嘧啶-5-甲酸甲酯

中华试剂网提醒:合成路线仅供参考