基本信息:
中文名称 4-(Cbz-氨基)四氢吡喃-4-羧酸
中文别名 4-(CBZ-氨基)四氢吡喃-4-甲酸;
英文名称 4-(phenylmethoxycarbonylamino)oxane-4-carboxylic acid
英文别名 4-Cbz-amino-4-tetrahydropyrancarboxylic acid;4-benzyloxycarbonylamino-tetrahydro-pyran-4-carboxylic acid;4-N-CBZ-AMINO-4-TETRAHYDROPYRANCARBOXYLIC ACID;
CAS号 138402-13-8
合成路线:
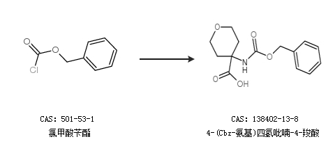
1.通过氯甲酸苄酯合成4-(Cbz-氨基)四氢吡喃-4-羧酸

2.通过氯甲酸苄酯合成4-(Cbz-氨基)四氢吡喃-4-羧酸

中华试剂网提醒 合成路线仅供参考