基本信息:
中文名称 N-[4-(3-氨基苯基)-2-噻唑基]乙酰胺
中文别名 N-[4-(3-氨基苯基)-2-噻唑]乙酰胺;
英文名称 N-[4-(3-Aminophenyl)-2-thiazolyl]acetamide
英文别名 N-[4-(3-Aminophenyl)-1,3-thiazol-2-yl]acetamide;
CAS号 134812-30-9
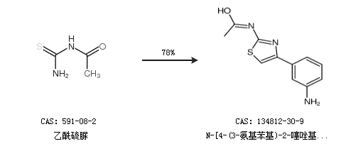
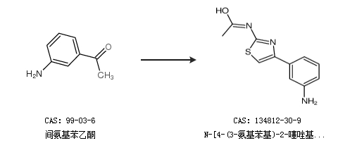
合成路线:
1.通过乙酰硫脲合成N-[4-(3-氨基苯基)-2-噻唑基]乙酰胺,收率约78%;

2.通过间氨基苯乙酮合成N-[4-(3-氨基苯基)-2-噻唑基]乙酰胺

合成路线仅供参考