基本信息:
中文名称 1-Boc-2-甲基哌嗪
中文别名 1-BOC-2-甲基哌嗪.柠檬酸盐;2-甲基哌嗪-1-叔丁酯;N-1-BOC-3-甲基哌嗪;1-BOC-2-甲基哌嗪;N-4-BOC-3-甲基哌嗪;2-甲基哌嗪-1-羧酸叔丁酯;2-甲基-1-叔丁氧羰基哌嗪;
英文名称 1-Boc-2-Methylpiperazine
英文别名 tert-Butyl 2-methylpiperazine-1-carboxylate;1-Boc-2-methylpiperazine;N-1-BOC-2-METHYLPIPERAZINE;tert-butyl 2-methylpiperazine-1-carboxylate;
CAS号 120737-78-2
合成路线:
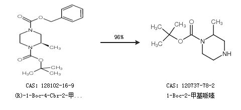
1.通过(R)-1-Boc-4-Cbz-2-甲基哌嗪合成1-Boc-2-甲基哌嗪,收率约96%;

2.通过2-甲基哌嗪合成1-Boc-2-甲基哌嗪

合成路线仅供参考