基本信息:
中文名称 5,6,7,8-四氢咪唑并[1,2-a]吡嗪-2-甲酸乙酯
中文别名 5,6,7,8-四氢咪唑[1,2-A]吡嗪-2-羧酸乙酯;
英文名称 Ethyl 5,6,7,8-Tetrahydroimidazo[1,2-a]pyrazine-2-carboxylate
英文别名 ethyl 5,6,7,8-tetrahydroimidazo[1,2-a]pyrazine-2-carboxylate;
CAS号 91476-82-3
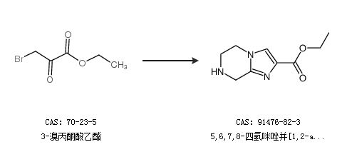
合成路线:
1.通过咪唑并[1,2-a]吡嗪-2-甲酸乙酯合成5,6,7,8-四氢咪唑并[1,2-a]吡嗪-2-甲酸乙酯,收率约94%;

2.通过3-溴丙酮酸乙酯合成5,6,7,8-四氢咪唑并[1,2-a]吡嗪-2-甲酸乙酯

中华试剂网提醒 合成路线仅供参考