你好,欢迎来到中华试剂网 购试剂 买耗材! [请登录][注册有惊喜]

货号快速下单 | 签到送积分   | 会员中心 | 客服热线:400-021-2765

D-山梨醇,50-70-4,结构式

D-山梨醇

CasNo:50-70-4 MDL: 分子式:C6H14O6 分子量:182.17

小程序

化学试剂

所有产品仅用作科学研究和企业生产,我们不为任何个人用途提供产品和服务
收起
  品牌 货号 品名 规格纯度 包装 库存 牌价含税 成交价 购买量 操作
loading
点击加载更多
加载完成
声明
1、因厂家会在没有任何提前通知的情况下更改产品价格、包装、产地或者一些附件,若出现价格异常请以厂家官网价格为准,本司不能确保客户收到的货物与商城图片、产地、附件说明完全一致,只能确保为原厂正货!并且保证与当时市场上同样主流新品一致。若本商城没有及时更新,请大家谅解!
2、商品信息标注“一般危化品”“危化”的商品,如需购买需提供一般危化品购买资质。
3、仅可用于工业或者科研等非医疗目的。买卖双方确认:依照中国法律法规之规定,本网站销售的所有产品仅用于工业应用或者科学研究等非医疗目的,不可用于人类或动物的临床诊断或治疗,非药用,非食用。我们特此明示提醒:您应严格恪守上述规定,不得超越正常的科研或教学目的而违规使用产品,否则由此造成的一切后果均应由您承担;若我们因此遭受任何损失的,您也应负责对我们做出赔偿。
我要委托采购 50-70-4 产品

用户需要登录成功才能进行委托采购!
牌试剂可在下方直接购买,如需大包装可发起委托采购。

*收货区域
*发票类型
*需求量1
*需求量2
备注

基本信息物化性质安全数据

CAS:50-70-4
中文名:D-山梨醇
英文名:D-Sorbitol solution
中文别名:
山梨糖醇,D-山梨糖醇,山梨醇,清凉茶醇,花楸醇,蔷薇醇,己六醇
英文别名:
Sorbitol(Glucitol)

技术问答

D-山梨醇的合成路线有哪些?匿名 2021-04-22 10:11
描述:D-山梨醇有什么方法可以合成?
基本信息:
中文名称 D-山梨醇
中文别名 D-山梨糖醇;山梨醇;
英文名称 D-glucitol
英文别名 n-Hex-2,4-dienal;(2R,3R,4R,5S)-Hexane-1,2,3,4,5,6-hexaol;2,4-HEXADIEN-1-AL;Sorbitol;trans,trans-2,4-Hexadienal;T2 T4 HEXADIENAL;D-Sorbitol;sorbic aldehyde;hexa-2,4-dienal;trans,trans-hexa-2,4-dienal;sorbaldehyde;
CAS号 50-70-4

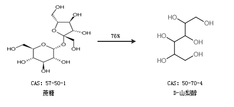
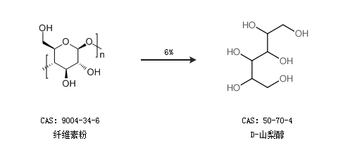
合成路线:
1.通过纤维素粉合成D-山梨醇,收率约6%;


2.通过蔗糖合成D-山梨醇,收率约76%;


合成路线仅供参考
展开
D-山梨醇是什么,有什么用途啊?匿名 2021-04-20 17:39
描述:D-山梨醇的物化性质是什么,有什么用途啊?
基本信息:
中文名称 D-山梨醇
中文别名 D-山梨糖醇;山梨醇;
英文名称 D-glucitol
英文别名 n-Hex-2,4-dienal;(2R,3R,4R,5S)-Hexane-1,2,3,4,5,6-hexaol;2,4-HEXADIEN-1-AL;Sorbitol;trans,trans-2,4-Hexadienal;T2 T4 HEXADIENAL;D-Sorbitol;sorbic aldehyde;hexa-2,4-dienal;trans,trans-hexa-2,4-dienal;sorbaldehyde;
CAS号 50-70-4
分子式 C6H14O6
分子量 182.17200

物化性质:
外观性状 透明至淡黄色糖浆状液体
折射率 1.597
闪点 292.5ºC
熔点 95-99ºC
密度 1.48
沸点 494.9ºC at 760 mmHg

D-山梨醇的用途:

D-山梨糖醇。山梨醇可用于司盘、吐温等表面活性剂的生产、聚醚生产、塑料助剂生产等。

展开
D-山梨醇 熔点是多少匿名 2021-04-14 15:17
描述:D-山梨醇 熔点是多少
D-山梨醇的熔点是 98-100 °C(lit.)
展开
D-Sorbitol匿名 2021-04-13 15:23
描述:D-Sorbitol是什么,有什么用
D-Sorbitol (Sorbitol) 是一种六碳糖醇,可以用作糖的替代品。D-Sorbitol 可用作稳定的赋形剂和/或等渗剂,甜味剂,保湿剂,增稠剂和膳食补充剂。
展开
D-山梨醇的储存条件,储存温度匿名 2021-04-02 13:05
描述:D-山梨醇的储存温度 保存方法
室温储存
展开

原料询价

询单已收到,专属客服稍后会联系您!

您还可以登录后台“查看询单

此商品已成功添加到购物车
此商品已成功添加到购物车!