基本信息:
中文名称 N-[5-[(5-叔丁基-1,3-恶唑-2-基)甲硫基]-1,3-噻唑-2-基]哌啶-4-甲酰胺
中文别名 N-(5-((5-叔丁基噁唑-2-基)甲基硫基)噻唑-2-基)哌啶-4-甲酰胺;环巴胺;
英文名称 N-[5-[(5-tert-butyl-1,3-oxazol-2-yl)methylsulfanyl]-1,3-thiazol-2-yl]piperidine-4-carboxamide
英文别名 1-diMethylethyl)-2-oxazolyl]Methyl]thio]-2-thiazolyl];4-Piperidinecarboxamide,N-(5-(((5-(1,1-dimethylethyl)-2-oxazolyl)methyl)thio)-2-thiazolyl);N-(5-((5-Tert-Butyloxazol-2-yl)methylthio)thiazol-2-yl)piperidine-4-carboxamide;N-[5-[[[5-(1,1-dimethylethyl)-2-oxazolyl]methyl]thio]-2-thiazolyl]-4-piperidinecarboxamide;piperidine-4-carboxylic acid [5-(5-tert-butyl-oxazol-2-ylmethylsulfanyl)-thiazol-2-yl]-amide;
CAS号 345627-80-7
合成路线:
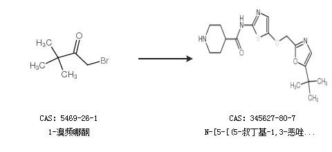
1.通过1-溴频哪酮合成N-[5-[(5-叔丁基-1,3-恶唑-2-基)甲硫基]-1,3-噻唑-2-基]哌啶-4-甲酰胺

2.通过5-叔丁基-2-(氯甲基)恶唑合成N-[5-[(5-叔丁基-1,3-恶唑-2-基)甲硫基]-1,3-噻唑-2-基]哌啶-4-甲酰胺

中华试剂网提醒 合成路线仅供参考