基本信息:
中文名称 3,4-二氯苯乙基异氰酸酯
中文别名 3,4-异氰酸二氯苯乙酯;
英文名称 1,2-dichloro-4-(2-isocyanatoethyl)benzene
英文别名 1-isocyano-2-(3,4-dichlorophenyl)ethane;3,4-Dichlorophenethyl isocyanate;
CAS号 115706-18-8
合成路线:
1.通过3,4-二氯苯乙胺和氯甲酸三氯甲酯合成3,4-二氯苯乙基异氰酸酯

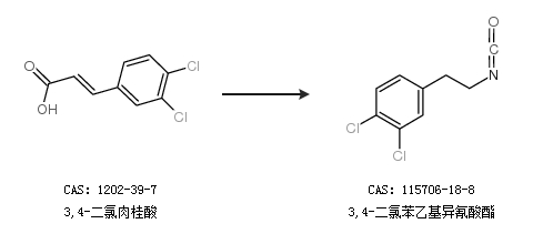
2.通过3,4-二氯肉桂酸合成3,4-二氯苯乙基异氰酸酯

合成路线仅供参考