基本信息:
中文名称 D-氨基葡萄糖
中文别名 D-葡糖胺;氨基葡萄糖;
英文名称 2-amino-2-deoxy-D-glucopyranose
英文别名 D-Glucose,2-amino-2-deoxy;D-GLUCOSAMINE;2-Amino-2-deoxyglucose;2-amino-2-deoxy-d-glucose;SHRIMP-DERIVEDGLUCOSAMINE;Glucosamine;SYNTHETICGLUCOSAMINE;D-2-amino-2-deoxyglucose;2-amino-2-deoxy-d-glucos;2-Deoxy-2-aminoglucose;GlucosaMine(Feed grade);
CAS号 3416-24-8
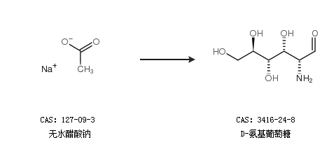
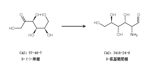
合成路线:
1.通过无水醋酸钠合成D-氨基葡萄糖

2.通过D-(-)-果糖合成D-氨基葡萄糖

合成路线仅供参考