基本信息:
中文名称 2,3-二(2-吡啶基)吡嗪
中文别名 2,3-双(2-吡啶基)吡嗪;2,3-二-2-吡啶基吡嗪;
英文名称 2,3-dipyridin-2-ylpyrazine
英文别名 2,3-bis(pyridyl)pyrazine;2,3-di(2-pyridyl)pyrazine;2,3-bis-(pyridin-2-yl)-pyrazine;2,3-di-pyridin-2-ylpyrazine;2,3-Bis(2-pyridyl)pyrazine;
CAS号 25005-96-3
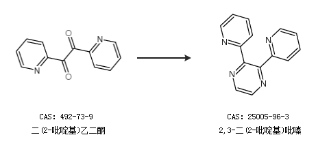
合成路线:
1.通过2,3-双-(2-吡啶)-5,6-二氢吡嗪合成2,3-二(2-吡啶基)吡嗪

2.通过二(2-吡啶基)乙二酮合成2,3-二(2-吡啶基)吡嗪

中华试剂网提醒:合成路线仅供参考