基本信息:
中文名称 (R)-1-N-Boc-2-甲基哌嗪
中文别名 R-N-BOC-2-甲基哌嗪;(R)-2-甲基哌嗪-1-甲酸叔丁酯;(R)-1-BOC-2-甲基哌嗪;(R)-1-Boc-2-甲基哌嗪;
英文名称 (R)-1-N-Boc-2-Methylpiperazine
英文别名 (R)-tert-Butyl 2-methylpiperazine-1-carboxylate;(R)-1-Boc-2-Methylpiperazine;tert-butyl (2R)-2-methylpiperazine-1-carboxylate;
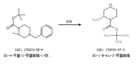
CAS号 170033-47-3
合成路线:
1.通过(R)-4-苄基-2-甲基哌嗪-1-羧酸叔丁酯合成(R)-1-N-Boc-2-甲基哌嗪,收率约83%;

2.通过(R)-1-苄基-3-甲基哌嗪合成(R)-1-N-Boc-2-甲基哌嗪

中华试剂网提醒:合成路线仅供参考