基本信息:
中文名称 2-甲氧基-4-硝基苯异氰酸酯
中文别名 2-甲氧基-4-硝基异氰酸苯酯;
英文名称 1-isocyanato-2-methoxy-4-nitrobenzene
英文别名 2-Methoxy-4-nitro-phenylisocyanat;2-isocyanato-5-nitrophenyl methyl ether;2-Methoxy-4-nitrophenyl isocyanate;
CAS号 33484-67-2
合成路线:
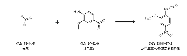
1.通过光气和红色基B合成2-甲氧基-4-硝基苯异氰酸酯

合成路线仅供参考