基本信息:
中文名称 4-苯基噻唑啉-2-酮
英文名称 4-phenyl-3H-1,3-thiazol-2-one
英文别名 2-Hydroxy-4-phenylthiazole;4-phenyl-2-oxo-thiazole;4-PHENYL-1,3-THIAZOL-2-OL;4-phenyl-2,3-dihydro-2-thiazolone;4-Phenyl-2-thiazolol;4-phenylthiazol-2-ol;4-Phenyl-3H-thiazol-2-on;4-phenyl-1,3-thiazol-2-ol;2-thiazolol,4-phenyl;2-oxo-4-phenylthiazole;4-fenil-3H-tiazol-2-one;4-phenyl-3H-thiazol-2-one;
CAS号 3884-31-9
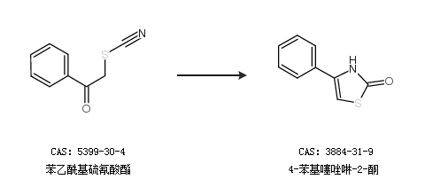
合成路线:
1.通过苯乙酰基硫氰酸酯合成4-苯基噻唑啉-2-酮

2.通过乙酸和苯乙酰基硫氰酸酯合成4-苯基噻唑啉-2-酮

合成路线仅供参考