基本信息:
中文名称 6-氟-3,4-二氢-4-氧代-2H-1-苯并吡喃-2-甲酸
英文名称 6-fluoro-4-oxo-2,3-dihydrochromene-2-carboxylic acid
英文别名 PC6501;dl-6-fluoro-3,4-dihydro-4-oxo-2H-1-benzopyran-2-carboxylic acid;6-Fluorochroman-4-one-2-carboxylic acid;6-Fluoro-4-oxochroman-2-carboxylic acid;rac-6-Fluoro-3,4-dihydro-4-oxo-2H-1-benzopyran-2-carboxylic Acid;
CAS号 105300-40-1
合成路线:
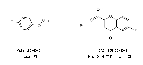
1.通过4-氟苯甲醚合成6-氟-3,4-二氢-4-氧代-2H-1-苯并吡喃-2-甲酸

中华试剂网提醒 合成路线仅供参考