基本信息:
中文名称 雌马酚
中文别名 (S)-3,4-二氢-3-(4-羟基苯基)-2H-1-苯并吡喃-7-醇;雌马酚,4'',7-异黄烷二酚;
英文名称 Equol
英文别名 R,S-EQUOL;4'',7-ISOFLAVANDIOL;4'',7-DIHYDROXYISOFLAVAN;7,4''-ISOFLAVANDIOL;(S)-3-(4-Hydroxyphenyl)chroman-7-ol;
CAS号 531-95-3
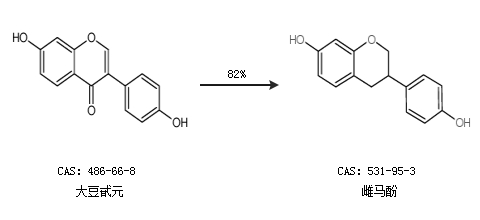
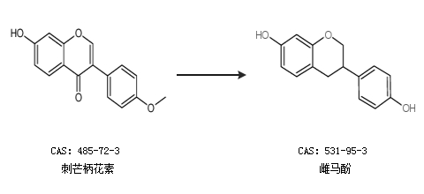
合成路线:
1.通过大豆甙元合成雌马酚,收率约82%;

2.通过刺芒柄花素合成雌马酚

合成路线仅供参考