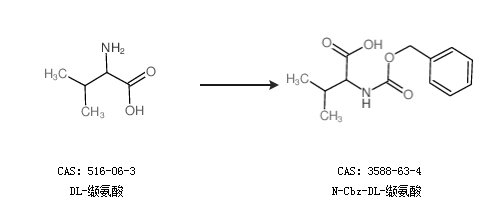
基本信息:
中文名称 N-Cbz-DL-缬氨酸
中文别名 N-苄氧羰基-DL-缬氨酸;
英文名称 N-Carbobenzoxy-DL-Valine
英文别名 2-(((Benzyloxy)carbonyl)amino)-3-methylbutanoic acid;N-Cbz-DL-valine;Z-DL-Val-OH;N-Carbobenzoxy-DL-valine;
CAS号 3588-63-4
合成路线:
1.通过DL-缬氨酸和氯甲酸苄酯合成N-Cbz-DL-缬氨酸

2.通过DL-缬氨酸合成N-Cbz-DL-缬氨酸

中华试剂网提醒:合成路线仅供参考