基本信息:
中文名称 1-氯-3,5-二甲基金刚烷
中文别名 5-氯-1,3-二甲基金刚烷;
英文名称 1-Chloro-3,5-dimethyladamantane
英文别名 1,3-Dimethyl-5-chloradamantan;1,3-Dimethyl-5-chloroadamantane;5-Chloro-1,3-dimethyladamantane;5-Chlor-1.3-dimethyladamantan;1-chloro-3,5-dimethyl-adamantane;
CAS号 707-36-8
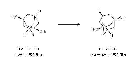
合成路线:
1.通过3,5-二甲基-1-金刚烷醇合成1-氯-3,5-二甲基金刚烷,收率约82%;

2.通过1,3-二甲基金刚烷合成1-氯-3,5-二甲基金刚烷

合成路线仅供参考