基本信息:
中文名称 2-巯基-6-硝基苯并噻唑
中文别名 2-疏基-6-硝基苯并噻唑;6-硝基-2-巯基苯并噻唑;
英文名称 2-Mercapto-6-Nitrobenzothiazole
英文别名 6-Nitrobenzo[d]thiazole-2(3H)-thione;6-Nitrobenzo[d]thiazole-2-thiol;2-Mercapto-6-nitrobenzothiazole;6-Nitro-2-mercaptobenzothiazole;6-nitro-3H-1,3-benzothiazole-2-thione;
CAS号 4845-58-3
合成路线:
1.通过2-溴-4-硝基苯胺和乙基黄原酸钾合成2-巯基-6-硝基苯并噻唑,收率约94%;

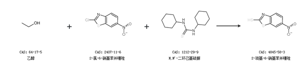
2.通过乙醇、2-氯-6-硝基苯并噻唑和N,N''-二环己基硫脲合成2-巯基-6-硝基苯并噻唑

中华试剂网提醒 合成路线仅供参考