基本信息:
中文名称 N-乙酰-D-甘露糖胺
英文名称 aldehydo-N-acetyl-D-mannosamine
英文别名 GalNAc-ol;2-acetamido-2-deoxy-D-mannose;2-acetamido-2-deoxy-galactose;2-Acetamido-2-deoxy-D-galactitol;D-GalNAc-ol;2-acetamido-2-deoxygalactitol;2-Acetamido-2-deoxy-D-mannopyranose Monohydrate;2-acetamido-2-deoxy-D-galacitol;HPG-Beta2-N1;N-acetyl-galactosaminitol;N-((2S,3R,4S,5R)-3,4,5,6-Tetrahydroxy-1-oxohexan-2-yl)acetamide;N-Acetyl-D-mannosamine Monohydrate;N-Acetyl-D-galactosaminitol;2-acetamido-2-deoxy-D-galacticol;
CAS号 3615-17-6
合成路线:
1.通过吡啶、N-乙酰-D-氨基葡萄糖和醋酸镍合成N-乙酰-D-甘露糖胺

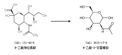
2.通过N-乙酰神经氨酸合成N-乙酰-D-甘露糖胺

中华试剂网提醒:合成路线仅供参考