基本信息:
中文名称 1,8-二甲基喹啉-2(1h)-酮
英文名称 1,8-dimethylquinolin-2-one
英文别名 1,8-dimethyl-1H-quinolin-2-one;1,8-dimethyl-2-quinolone;1,8-dimethylcarbostyril;1,8-Dimethyl-1H-chinolin-2-on;1,8-dimethyl-1,2-dihydroquinolin-2-one;
CAS号 35359-35-4
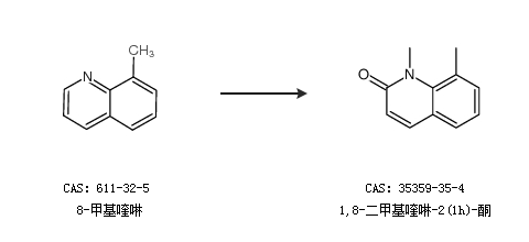
合成路线:
1.通过8-甲基喹啉和硫酸二甲酯合成1,8-二甲基喹啉-2(1h)-酮,收率约84%;

2.通过8-甲基喹啉合成1,8-二甲基喹啉-2(1h)-酮

中华试剂网提醒:合成路线仅供参考