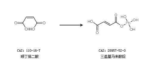
基本信息:
中文名称 三盐基马来酸铅
中文别名 马来酸铅;
英文名称 1,3,2λ<sup>2</sup>-dioxaplumbepine-4,7-dione
英文别名 1,3-dioxa-2-plumbacyclohept-5-ene-4,7-dione;1,3,2$l^{2}-dioxaplumbepine-4,7-dione;Maleinsaeure,Bleisalz;lead maleate;maleic acid,lead salt;
CAS号 28957-52-0
合成路线:
1.通过顺丁烯二酸合成三盐基马来酸铅

中华试剂网提醒:合成路线仅供参考