基本信息:
中文名称 三萜环黄氏醇
中文别名 环黄芪醇;
英文名称 cycloastragenol
英文别名 3-O-ferulylcycloartenol;cycloartenol trans-ferulate;Oryzanol A;cycloartenyl ferulate;Cyclogalegigenin;Ring astragalus alcohol;Cycloastragenol;Cycloartenol ferulic acid ester;CYCLOGALEGENIN;
CAS号 84605-18-5
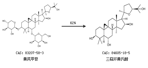
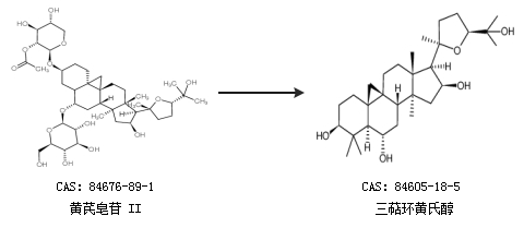
合成路线:
1.通过黄芪甲苷合成三萜环黄氏醇,收率约62%;

2.通过黄芪皂苷 II合成三萜环黄氏醇

中华试剂网提醒:合成路线仅供参考