基本信息:
中文名称 	克林沙星
中文别名 	罗非考昔;7-(3-氨基-1-吡咯烷基)-1-环丙基-6-氟-8-氯-1,4-二氢-4-氧代-3-喹啉羧酸;1-环丙基-6-氟-7-(3-氨基吡咯烷-1-基)-8-氯-1,4-二氢-4-氧-喹啉-3-羧酸;
英文名称 	7-(3-Aminopyrrolidin-1-yl)-8-chloro-1-cyclopropyl-6-fluoro-4-oxo-1,4-dihydroquinoline-3-carboxylic acid
英文别名 	Clinafloxacin;7-(3-aminopyrrolidin-1-yl)-8-chloro-1-cyclopropyl-6-fluoro-4-oxoquinoline-3-carboxylic acid;
CAS号 	105956-97-6
合成路线:
1.通过三乙烯二胺、3-氨基吡咯烷和特戊醛合成克林沙星

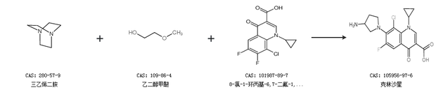
2.通过三乙烯二胺、乙二醇甲醚和8-氯-1-环丙基-6,7-二氟-1,4-二氢-4-氧代-3-喹啉羧酸合成克林沙星

中华试剂网提醒:合成路线仅供参考