你好,欢迎来到中华试剂网 购试剂 买耗材! [请登录][注册有惊喜]

货号快速下单 | 签到送积分   | 会员中心 | 客服热线:400-021-2765

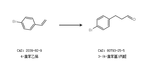
3-(4-溴苯基)丙醛的合成路线

提问时间:2021/4/26 17:08:04
3-(4-溴苯基)丙醛是什么,有什么方法可以合成?

1条回复:

匿名
2021/4/26 17:08:04
基本信息:
中文名称 3-(4-溴苯基)丙醛
中文别名 对溴苯丙醛;
英文名称 3-(4-Bromophenyl)Propanal
英文别名 3-(4-bromophenyl)propanal;
CAS号 80793-25-5

合成路线:
1.通过4-溴苯乙烯合成3-(4-溴苯基)丙醛


2.通过对溴碘苯和烯丙醇合成3-(4-溴苯基)丙醛,收率约85%;


中华试剂网提醒:合成路线仅供参考
回复