基本信息:
中文名称 2-氨基-3-硝基联苯
英文名称 2-nitro-6-phenylaniline
英文别名 [1,1''-Biphenyl]-2-amine,3-nitro;(3-nitrobiphenyl-2-yl)amine;3-Nitro-biphenyl-2-ylamin;2-amino-3-nitrobiphenyl;3-Nitro-2-amino-biphenyl;
CAS号 87666-60-2
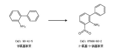
合成路线:
1.通过邻氨基联苯合成2-氨基-3-硝基联苯

中华试剂网提醒:合成路线仅供参考