基本信息:
中文名称 2,2’-氧化二乙酰氯
中文别名 2,2-氧基二乙酰氯;
英文名称 2-(2-chloro-2-oxoethoxy)acetyl chloride
英文别名 diglycoldiacid dichloride;2,2''-oxydiacetyl dichloride;2,2''-oxydiacetyl chloride;di-glycolic acid dichloride;Acetyl chloride,2,2''-oxybis;chlorure de diglycolyle;Oxydiacetyl dichloride;Diglycolyl chloride;
CAS号 21062-20-4
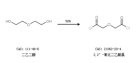
合成路线:
1.通过二甘醇酸合成2,2’-氧化二乙酰氯,收率约99%;

2.通过二乙二醇合成2,2’-氧化二乙酰氯,收率约58%;

中华试剂网提醒:合成路线仅供参考