基本信息:
中文名称 1-(3,4-二羟基苯基)-3-甲基-1-丁酮
英文名称 1-(3,4-dihydroxyphenyl)-3-methylbutan-1-one
英文别名 3'',4''-Dihydroxyisovalerophenone;ISOVALEROPHENONE,3'',4''-DIHYDROXY;Isovalerophenone,4''-dihydroxy;
CAS号 67239-25-2
合成路线:
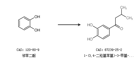
1.通过邻苯二酚合成1-(3,4-二羟基苯基)-3-甲基-1-丁酮

2.通过邻苯二酚和异戊酰氯合成1-(3,4-二羟基苯基)-3-甲基-1-丁酮

中华试剂网提醒:合成路线仅供参考