你好,欢迎来到中华试剂网 购试剂 买耗材! [请登录][注册有惊喜]

货号快速下单 | 签到送积分   | 会员中心 | 客服热线:400-021-2765

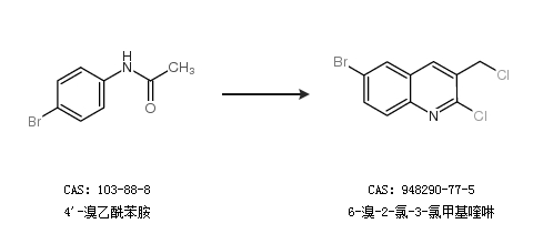
6-溴-2-氯-3-氯甲基喹啉的合成路线

提问时间:2021/4/26 8:22:19
6-溴-2-氯-3-氯甲基喹啉是什么,有什么方法可以合成?

1条回复:

匿名
2021/4/26 8:22:19
基本信息:
中文名称 6-溴-2-氯-3-氯甲基喹啉
英文名称 6-bromo-2-chloro-3-(chloromethyl)quinoline
英文别名 6-Bromo-2-chloro-3-chloromethylquinoline;
CAS号 948290-77-5

合成路线:
1.通过4''-溴乙酰苯胺合成6-溴-2-氯-3-氯甲基喹啉


2.通过6-溴-2-氯喹啉-3-甲醛合成6-溴-2-氯-3-氯甲基喹啉


中华试剂网提醒 合成路线仅供参考
回复