基本信息:
中文名称 1,1,4,4,7,7,10,10-八甲基-2,3,4,7,8,9,10,12-八氢-1H-二苯并[b,h]芴
英文名称 1,1,4,4,7,7,10,10-octamethyl-1,2,3,4,7,8,9,10-octahydrodibenzo[b,h]fluorene
英文别名 1,1,4,4,7,7,10,10-octamethyl-1,2,3,4,7,8,9,10-octahydrodibenzo(b,h)-fluorene;octamethyloctahydrodibenzofluorene;1,1,4,4,7,7,10,10-Octamethyl-2,3,4,7,8,9,10,12-octahydro-1H-dibenzo[b,h]fluorene;12H-1,1,4,4,7,7,10,10-octamethyloctahydrodibenzo[b,h]fluorene;
CAS号 77308-48-6
合成路线:
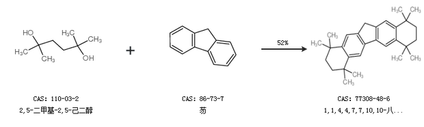
1.通过2,5-二甲基-2,5-己二醇和芴合成1,1,4,4,7,7,10,10-八甲基-2,3,4,7,8,9,10,12-八氢-1H-二苯并[b,h]芴,收率约52%;

2.通过芴和2,5-二氯-2,5-二甲基己烷合成1,1,4,4,7,7,10,10-八甲基-2,3,4,7,8,9,10,12-八氢-1H-二苯并[b,h]芴,收率约87%;

中华试剂网提醒 合成路线仅供参考