你好,欢迎来到中华试剂网 购试剂 买耗材! [请登录][注册有惊喜]

货号快速下单 | 签到送积分   | 会员中心 | 客服热线:400-021-2765

2,4-二苯基咪唑的合成路线

提问时间:2021/4/26 8:22:13
2,4-二苯基咪唑是什么,有什么方法可以合成?

1条回复:

匿名
2021/4/26 8:22:13
基本信息:
中文名称 2,4-二苯基咪唑
英文名称 2,4-Diphenyl-1H-imidazole
英文别名 2,5-diphenyl-1H-imidazole;
CAS号 670-83-7

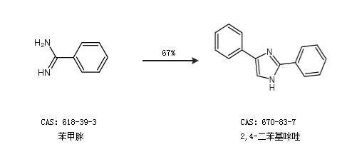
合成路线:
1.通过苯甲脒合成2,4-二苯基咪唑,收率约67%;


2.通过苯乙酮和苯甲脒合成2,4-二苯基咪唑,收率约53%;


中华试剂网提醒 合成路线仅供参考
回复