基本信息:
中文名称 [1,1-联苯]-2,4-二羧酸
英文名称 2-(4-carboxyphenyl)benzoic acid
英文别名 2,4''-biphenyl-dicarboxylate acid;2,4''-H2bpdc;[1,1''-Biphenyl]-2,4''-dicarboxylic acid;biphenyl-2,4''-dicarboxylic acid;2,4''-Biphenyldicarboxylic Acid;
CAS号 606-80-4
合成路线:
1.通过4-异丙基联苯合成[1,1-联苯]-2,4-二羧酸

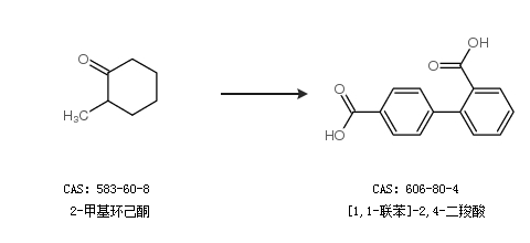
2.通过2-甲基环己酮合成[1,1-联苯]-2,4-二羧酸

中华试剂网提醒 合成路线仅供参考