基本信息:
中文名称 (3S)-3-((4-羟基苯基)甲基)-2,5-哌嗪二酮
中文别名 环(甘氨酰-L-酪氨酸);环(甘氨酰-酪氨酸);
英文名称 3-[(4-hydroxyphenyl)methyl]piperazine-2,5-dione
英文别名 3-(S)-(4-Hydroxybenzyl)piperazine-2,5-dione;Cyclo(-Gly-Tyr);3-(4-hydroxybenzyl)piperazine-2,5-dione;Cyclic(glycyl-L-tyrosyl);(S)-3-(4-hydroxy-benzyl)-piperazine-2,5-dione;cyclo-(glycyl-L-tyrosyl);Cyclo(L-tyrosylglycine);Cyclo(-Gly-Tyr);cyclo-(Gly-L-Tyr);(S)-3-(4-Hydroxy-benzyl)-piperazin-2,5-dion;
CAS号 5845-66-9
合成路线:
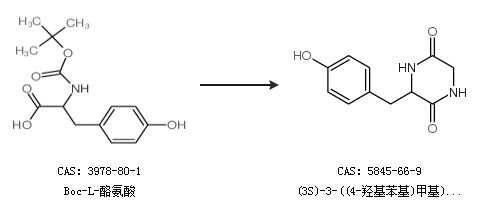
1.通过Boc-L-酪氨酸合成(3S)-3-((4-羟基苯基)甲基)-2,5-哌嗪二酮

2.通过L-酪氨酸乙酯和一氯代乙酰氯合成(3S)-3-((4-羟基苯基)甲基)-2,5-哌嗪二酮

中华试剂网提醒 合成路线仅供参考