基本信息:
中文名称 丙嗪
中文别名 N,N-二甲基-3-(10H-吩噻嗪-10-基)丙-1-胺;
英文名称 promazine
英文别名 Berophen;N,N-dimethyl-3-phenothiazin-10-ylpropan-1-amine;Ampazine;Promazina;N,N-dimethyl-10H-phenothiazine-10-propanamine;Sinophenin;Liranol;Protactyl;Promazin;Prazine;Esparin;
CAS号 58-40-2
合成路线:
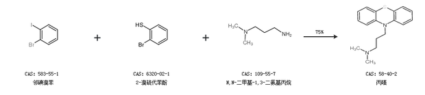
1.通过邻碘溴苯、2-溴硫代苯酚和N,N-二甲基-1,3-二氨基丙烷合成丙嗪,收率约75%;

2.通过2-溴硫代苯酚、N,N-二甲基-1,3-二氨基丙烷和1,2-二溴苯合成丙嗪,收率约17%;

中华试剂网提醒 合成路线仅供参考