基本信息:
中文名称 4-叔戊基环己醇
中文别名 4-叔丁基环己醇;4-叔丁基环己醇,顺式 +反式;
英文名称 4-(2-methylbutan-2-yl)cyclohexan-1-ol
英文别名 4-tert-Amyl-1-cyclohexanol;4-tert-Amylcyclohexanol,cis/transmixedisomers;4-tert-Pentylcyclohexanol;4-tert-pentylcyclohexanol,cis + trans;TRANS);4-TERT-AMYLCYCLOHEXANOL;4-Hydroxy-1-tert.-pentyl-cyclohexan;P-TERT-AMYLCYCLOHEXANOL;4-tert-Amylcyclohexanol,cis + trans;
CAS号 5349-51-9
合成路线:
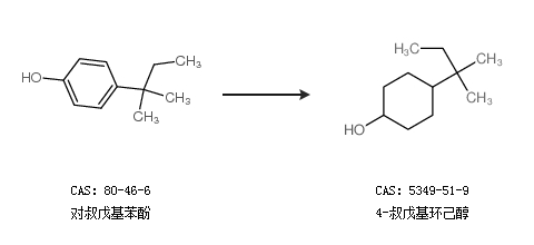
1.通过对叔戊基苯酚合成4-叔戊基环己醇

2.通过对叔戊基苯酚和戊烷油合成4-叔戊基环己醇

中华试剂网提醒 合成路线仅供参考