基本信息:
中文名称 2-甲基咪唑啉
中文别名 2-甲-2-咪唑啉;2-甲基-2-咪唑啉;2-甲基-4,5-二氢化咪唑;2-甲-4,5-二氢咪唑;2-甲-2-二氢咪唑;
英文名称 2-Methyl-2-imidazoline
英文别名 2-methyl-4,5-dihydro-1H-imidazole;2-Methyl-2-iMidazoline;2-METHYL-2-IMIDAZOLINE TARTRATE;
CAS号 534-26-9
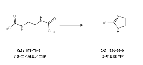
合成路线:
1.通过乙二胺和乙腈合成2-甲基咪唑啉,收率约76%;

2.通过N,N-二乙酰基乙二胺合成2-甲基咪唑啉

中华试剂网提醒 合成路线仅供参考