基本信息:
中文名称 N-[2-[2,6-二溴-4-硝基苯基]偶氮]-5-(二乙氨基)苯基]乙酰胺
英文名称 N-[2-[(2,6-dibromo-4-nitrophenyl)diazenyl]-5-(diethylamino)phenyl]acetamide
英文别名 EINECS 258-019-7;N-{2-[(E)-(2,6-dibromo-4-nitrophenyl)diazenyl]-5-(diethylamino)phenyl}acetamide;Acetamide,N-[2-[(2,6-dibromo-4-nitrophenyl)azo]-5-(diethylamino)phenyl]-(9CI);N-(2-((2,6-Dibromo-4-nitrophenyl)azo)-5-(diethylamino)phenyl)acetamide;Acetamide,N-[2-[2-(2,6-dibromo-4-nitrophenyl)diazenyl]-5-(diethylamino)phenyl];
CAS号 52583-53-6
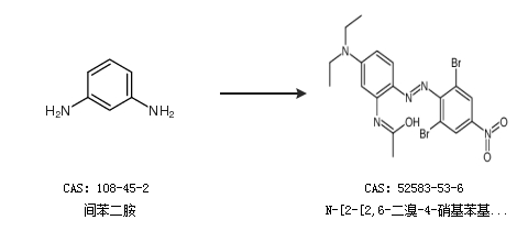
合成路线:
1.通过N-乙酰基-1,3-苯二胺,盐酸盐合成N-[2-[2,6-二溴-4-硝基苯基]偶氮]-5-(二乙氨基)苯基]乙酰胺

2.通过间苯二胺合成N-[2-[2,6-二溴-4-硝基苯基]偶氮]-5-(二乙氨基)苯基]乙酰胺

中华试剂网提醒 合成路线仅供参考