你好,欢迎来到中华试剂网 购试剂 买耗材! [请登录][注册有惊喜]

货号快速下单 | 签到送积分   | 会员中心 | 客服热线:400-021-2765

二乙二醛对溴苯的合成路线

提问时间:2021/4/26 8:22:10
二乙二醛对溴苯是什么,有什么方法可以合成?

1条回复:

匿名
2021/4/26 8:22:10
基本信息:
中文名称 二乙二醛对溴苯
英文名称 2-(4-bromophenyl)-2-oxoacetaldehyde
英文别名 (4-bromophenyl)(oxo)acetaldehyde;4-BROMOPHENYLGLYOXAL;
CAS号 5195-29-9

合成路线:
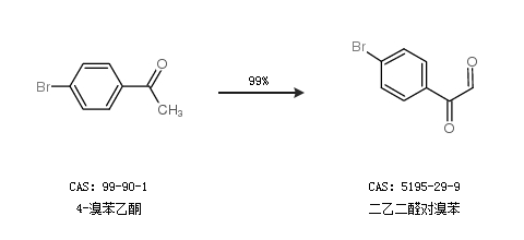
1.通过4-溴苯乙酮合成二乙二醛对溴苯,收率约99%;


2.通过4-溴苯乙烯合成二乙二醛对溴苯


中华试剂网提醒 合成路线仅供参考
回复