基本信息:
中文名称 4-溴-2-乙基乙酰苯胺
中文别名 4-溴-2-乙基乙酰胺;
英文名称 4-BROMO-2-ETHYLACETANILIDE
英文别名 N-(4-bromo-2-ethylphenyl)acetamide;N-(4-BROMO-2-ETHYL-PHENYL)-ACETAMIDE;4′-Bromo-2′-ethylacetanilide;
CAS号 51688-73-4
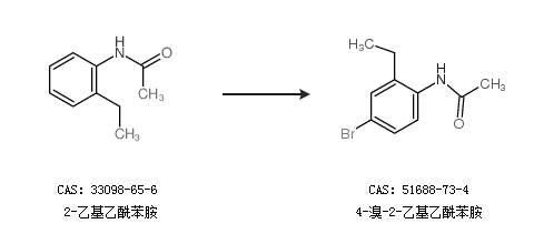
合成路线:
1.通过4-溴-2-乙基苯胺和乙酰氯合成4-溴-2-乙基乙酰苯胺

2.通过2-乙基乙酰苯胺合成4-溴-2-乙基乙酰苯胺

中华试剂网提醒 合成路线仅供参考