基本信息:
中文名称 1-(5-溴-2-羟基苯基)-3-苯基-1,3-丙二酮
中文别名 1-(5-溴代-2-羟基苯基)-3-苯基-1,3-丙二酮;
英文名称 1-(5-Bromo-2-hydroxyphenyl)-3-phenyl-1,3-propanedione
英文别名 1-(5-bromo-2-hydroxyphenyl)-3-phenylpropane-1,3-dione;
CAS号 5067-24-3
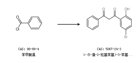
合成路线:
1.通过2′-羟基-5′-溴苯乙酮合成1-(5-溴-2-羟基苯基)-3-苯基-1,3-丙二酮

2.通过苯甲酰氯合成1-(5-溴-2-羟基苯基)-3-苯基-1,3-丙二酮

中华试剂网提醒 合成路线仅供参考