基本信息:
中文名称 菲-9-甲醇
中文别名 9-甲醇菲;
英文名称 phenanthren-9-ylmethanol
英文别名 9-methylhydroxy phenanthrene;phenanthrene-9-methanol;phenanthrene-9-ylmethanol;9-Phenanthrenemethanol;9-hydroxymethylphenanthrene;
CAS号 4707-72-6
合成路线:
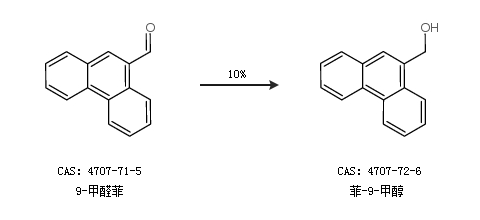
1.通过9-甲醛菲合成菲-9-甲醇,收率约10%;

2.通过甲醛和9-菲基溴化镁合成菲-9-甲醇

中华试剂网提醒 合成路线仅供参考