基本信息:
中文名称 9-甲醛菲
中文别名 菲-9-甲醛;菲-9-甲醛;菲-9-醛;
英文名称 PHENANTHRENE-9-CARBOXALDEHYDE
英文别名 Phenanthrene-9-carbaldehyde;phenanthrene-9-carbaldehyde;C 16003060 Phenanthrene-9;9-Phenanthrenecarboxaldehyde;
CAS号 4707-71-5
合成路线:
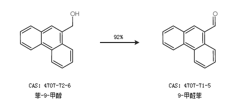
1.通过菲-9-甲醇合成9-甲醛菲,收率约92%;

2.通过9-溴菲和N,N-二甲基甲酰胺合成9-甲醛菲,收率约91%;

中华试剂网提醒 合成路线仅供参考