基本信息:
中文名称 2-(4-氨基苯基)丁酸
中文别名 Α-(对氨基苯基)丁酸;
英文名称 2-(4-aminophenyl)butanoic acid
英文别名 2-(p-Aminophenyl)butyric acid;(+-)-2-(4-amino-phenyl)-butyric acid;2-(4-Amino-phenyl)-buttersaeure;a-(p-Aminophenyl)butyric acid;?-(p-Aminophenyl)butyric acid;BUTYRIC ACID,2-(p-AMINOPHENYL);
CAS号 29644-97-1
合成路线:
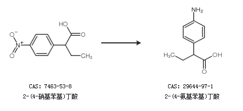
1.通过2-(4-硝基苯基)丁酸合成2-(4-氨基苯基)丁酸

2.通过2-苯基丁腈合成2-(4-氨基苯基)丁酸

中华试剂网提醒 合成路线仅供参考