你好,欢迎来到中华试剂网 购试剂 买耗材! [请登录][注册有惊喜]

货号快速下单 | 签到送积分   | 会员中心 | 客服热线:400-021-2765

吲哚嗪的合成路线

提问时间:2021/4/26 8:22:05
吲哚嗪是什么,有什么方法可以合成?

1条回复:

匿名
2021/4/26 8:22:05
基本信息:
中文名称 吲哚嗪
中文别名 吲嗪;吡咯并[1,2-a]吡啶;中氮茚;
英文名称 indolizine
英文别名 Pyrrocoline;4-Azaindene;Pyrrolo[1,2-a]pyridine;pyrrolo[b]pyridine;Indolizin;Indolizine;Pyrrolo(1,2-a)pyridine;
CAS号 274-40-8

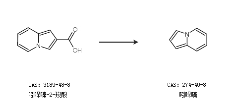
合成路线:
1.通过吡啶醇合成吲哚嗪


2.通过吲哚嗪-2-羧酸合成吲哚嗪


中华试剂网提醒 合成路线仅供参考
回复